prevalence of stroke in malaysia



Pdf Identification Of Cardiovascular Risk Factors Among Urban And Rural Malaysian Youths


Pdf 740 Demographics And Clinical Characteristics Of Myasthenia Gravis In Multiethnic Population A Malaysian Tertiary Centre Experience


Pharmaceuticals Free Full Text Clopidogrel Pharmacokinetics In Malaysian Population Groups The Impact Of Inter Ethnic Variability Html


Regional Differences In Office And Self Measured Home Heart Rates In Asian Hypertensive Patients Asiabp Home Study Tomitani 2021 The Journal Of Clinical Hypertension Wiley Online Library


Global Incidence Of Stroke By Age And Sex 2016 Download Scientific Diagram


Elder Abuse And Hospitalization In Rural Malaysia Plos One


Pdf Identification Of Cardiovascular Risk Factors Among Urban And Rural Malaysian Youths


Overview Of Obesity In Malaysia


Cerebral Venous Sinus Thrombosis Is Not Significantly Linked To Covid 19 Vaccines Or Non Covid Vaccines In A Large Multi State Health System Journal Of Stroke And Cerebrovascular Diseases


Global Incidence Of Stroke By Age And Sex 2016 Download Scientific Diagram


2


A Comparison Of Valsartan And Perindopril In The Treatment Of Essential Hypertension In The Malaysian Population Semantic Scholar


Overview Of Obesity In Malaysia


Cerebral Venous Sinus Thrombosis Is Not Significantly Linked To Covid 19 Vaccines Or Non Covid Vaccines In A Large Multi State Health System Journal Of Stroke And Cerebrovascular Diseases


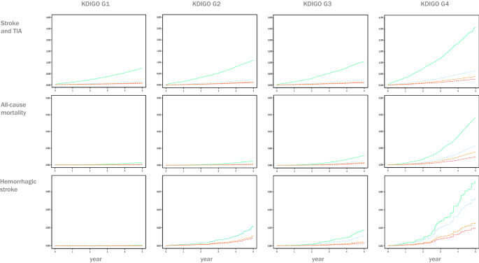
Real World Data Of Anticoagulant Treatment In Non Valvular Atrial Fibrillation Across Renal Function Status Scientific Reports


Michiel L Bots S Research Works University Medical Center Utrecht Utrecht Umc Utrecht And Other Places


Pdf Awareness Towards Signs And Symptoms Of Stroke And Assessment Of Factors Associated With Knowledge Of Five Symptoms Of Stroke Among General Public Malaysia A Regression Analysis


Elder Abuse And Hospitalization In Rural Malaysia Plos One


2


2

Related : prevalence of stroke in malaysia.